Facebook Pixel
Logo
Home   Breadcrumb right  Blog   Breadcrumb right  Stochastic oscillator

Technical Analysis

Stochastic Oscillator: Definition, Formula, and Calculation

Written by Sarah Abbas

Fact checked by Antonio Di Giacomo

Updated 1 November 2025

stochastic-oscillator

Table of Contents

    The Stochastic Oscillator is a momentum indicator that compares a security’s closing price to its price range over a specific period of time.

    Traders use it to spot when an asset may be overbought or oversold, giving early hints of a possible trend change.

    Originally developed by George Lane in the late 1950s, the indicator has since become one of the most widely used tools in technical analysis. What makes it popular is its ability to show shifts in momentum before price movements actually occur.

    In this article, we’ll explain the definition, break down the formula, and explore trading strategies that can help you use the Stochastic Oscillator effectively.

    Key Takeaways

    • The Stochastic Oscillator is a momentum indicator that compares a closing price to its recent high–low range, helping traders identify overbought and oversold conditions.

    • Signals such as stochastic oscillator crossovers and divergences can provide early warnings of trend shifts, especially in range-bound markets.

    • The Stochastic Oscillator works best when combined with other tools like moving averages, RSI, or MACD to filter out false signals and confirm trends.

    Try a No-Risk Demo Account

    Register for a free demo and refine your trading strategies.

    Open Your Free Account

    What Is the Stochastic Oscillator?

    The Stochastic Oscillator indicator is a momentum tool that compares a closing price to the high–low range of prices over a chosen period. By measuring where the most recent closing price falls within that range, it helps traders assess the strength or weakness of a market move.

    The primary purpose of the Stochastic Oscillator is to identify overbought and oversold conditions. When values move above 80, the market may be considered overbought, while readings below 20 suggest oversold conditions.

    stochastic-oscillator

    At its core, the technical indicator follows the principle that “momentum changes before price changes.” This means it often gives traders early warnings of a potential trend reversal.

    Two of the most common signals traders look for are the Stochastic Oscillator crossover signal, where the %K line crosses the %D line, and Stochastic Oscillator divergence, where the price action and the indicator move in opposite directions.

    Compared to other momentum indicators such as the RSI, the Stochastic Oscillator reacts more sensitively to price movements, making it useful for short-term trading strategies.

     

    How the Stochastic Oscillator Works

    The Stochastic Oscillator is built on two lines, %K and %D, that move within a scale of 0 to 100. Together, they help traders identify momentum shifts and potential entry or exit points.

    how-stochastic-oscillator-work

    The %K Line

    The %K line is the main line of the Stochastic Oscillator. It shows the position of the most recent closing price relative to the highest high and lowest low over a selected period of time.

    • Default setting: 14 periods (often days on a daily chart).

    • Interpretation: A high %K reading means the close is near the recent high, while a low reading means the close is near the recent low.

     

    The %D Line

    The %D line is a 3-period simple moving average of the %K line.

    • Role: It acts as a smoothing mechanism to filter out market noise and serves as the signal line.

    • When the %K line crosses above or below the %D line, traders often view this as a stochastic oscillator crossover signal, which can indicate a potential change in momentum.

     

    Overbought and Oversold Levels

    The Stochastic Oscillator also uses two standard thresholds:

    • Above 80: The asset may be considered overbought.

    • Below 20: The asset may be considered oversold.

    These levels don’t always signal immediate reversals, but they do serve as early warnings of possible trend exhaustion. Traders often wait for confirmation through crossovers, chart patterns, or even stochastic oscillator divergence before acting.

     

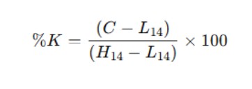
    Stochastic Oscillator Calculation

    The Stochastic Oscillator is calculated using two main formulas—%K and %D

    Stochastic Oscillator formula:

    stochastic-oscillator-formula1

    Where:

    • C = most recent closing price

    • L₁₄ = lowest low over the last 14 periods

    • H₁₄ = highest high over the last 14 periods

    stochastic-oscillator-formula2

    Together, %K and %D form the two lines that traders analyze on the chart.

    Explanation of each variable:

    1. Closing Price (C): The most recent price at which the asset closed.

    2. Lowest Low (L₁₄): The lowest price reached in the chosen lookback period (usually 14 periods).

    3. Highest High (H₁₄): The highest price reached in the same lookback period.

    4. %K Line: Measures where the current close is relative to the high-low range.

    5. %D Line: A smoothed version of %K, providing clearer signals.

     

    Example of Stochastic Oscillator Calculation

    Let’s assume we are calculating the Stochastic Oscillator for stock XYZ with a 14-day period:

    • Most recent closing price (C): 75

    • Lowest low in last 14 days (L₁₄): 65

    • Highest high in last 14 days (H₁₄): 85

    Step 1: Apply the %K formula:

    stochastic-oscillator-formula3

    This means the closing price is exactly halfway between the recent high and low, giving a %K reading of 50.

    Step 2: Calculate %D (3-period SMA of %K):

    Let’s say the last three %K values are 40, 60, and 50.

    stochastic-oscillator-formula4

    So, the %D line = 50, which smooths out fluctuations in %K.

     

    How to Interpret the Stochastic Oscillator

    The Stochastic Oscillator provides traders with multiple types of signals that help identify potential turning points in the market. These signals are most effective when used alongside broader price action analysis and trend confirmation tools.

     

    Overbought vs. Oversold Signals

    • When the oscillator rises above 80, it suggests that the asset may be overbought, meaning prices have moved too high too quickly.

    • When it falls below 20, it indicates the asset may be oversold, suggesting downward pressure may be losing strength.

    • These readings do not always mean an immediate reversal will occur. Instead, traders should confirm signals with the prevailing price trend or candlestick patterns before making decisions.

     

    Crossovers (%K and %D)

    The interaction between the %K line (fast line) and the %D line (signal line) generates one of the most commonly used trading signals:

    • Bullish crossover: Occurs when %K crosses above %D, signaling potential upward momentum.

    • Bearish crossover: Occurs when %K crosses below %D, signaling potential downward momentum.

    These are often referred to as stochastic oscillator crossover signals and can be particularly effective when they occur in overbought or oversold regions.
     

    Divergences

    Divergence occurs when the price and the oscillator move in opposite directions, often warning of a weakening trend:

    • Bullish divergence: Price makes a new low, but the oscillator makes a higher low, which means a possible reversal to the upside.

    • Bearish divergence: Price makes a new high, but the oscillator makes a lower high, which means apossible reversal to the downside.

    This type of stochastic oscillator divergence is a strong momentum clue, but traders should wait for confirmation before acting.
     

    Trend Confirmation

    The Stochastic Oscillator becomes more reliable when used together with broader trend indicators:

    • Moving averages: Confirm the overall market direction before acting on oscillator signals.

    • Trendlines or support/resistance levels: Provide context for whether an overbought/oversold reading is part of a larger trend continuation or a potential reversal.

    This combination helps filter out false signals and ensures that trades align with the market’s broader structure.

     

    Stochastic Oscillator vs RSI

    The Stochastic Oscillator and the Relative Strength Index (RSI) are both momentum indicators, but they measure different aspects of market behavior.

    • The Stochastic looks at where the closing price sits within a recent trading range, which makes it more sensitive to price changes.

    • The RSI indicator measures the speed and magnitude of price moves, giving a smoother reading of momentum.

    As a result:

    • Stochastic often produces earlier overbought/oversold signals, which is useful for short-term traders.

    • RSI tends to be more reliable for sustained momentum, since it filters out some of the noise.

     

    Stochastic Oscillator vs MACD

    The Stochastic Oscillator and the Moving Average Convergence Divergence (MACD) serve different purposes, even though both are popular timing tools.

    • The Stochastic is a momentum oscillator, highlighting when prices may be overbought or oversold.

    • The MACD indicator is a trend-following indicator, based on the convergence and divergence of moving averages.

    Their signals also differ:

    • The Stochastic generates entries through %K and %D crossovers, especially near the 80 and 20 thresholds.

    • MACD signals come from line crossovers (MACD vs. Signal line) and histogram shifts, which reveal the strength and direction of a trend.

     

    Comparison Table: Stochastic vs RSI vs MACD

    Feature

    Stochastic Oscillator

    RSI (Relative Strength Index)

    MACD (Moving Average Convergence Divergence)

    Indicator Type

    Momentum oscillator

    Momentum oscillator

    Trend-following + momentum hybrid

    Focus

    Close vs. high-low range

    Speed and magnitude of price change

    Relationship between moving averages

    Sensitivity

    High (reacts quickly to price moves)

    Moderate (smoother, less noise)

    Moderate to low (better for big trends)

    Main Signals

    %K/%D crossovers, 80/20 levels, divergence

    Overbought/oversold zones (70/30)

    Line crossovers, histogram shifts

    Best Use Case

    Short-term reversals, range trading

    Identifying momentum strength

    Confirming direction of medium/long-term trend

    Risk of False Signals

    Higher (in trending markets)

    Lower than Stochastic

    Lower, but may lag in fast reversals

     

    How to Trade the Stochastic Oscillator

    The Stochastic Oscillator generates signals in a few key ways, and traders often combine these signals with broader price action to find higher-probability trades.

    how-stochastic-oscillator-works

    Spotting Overbought and Oversold Levels

    • When the oscillator moves above 80, the market may be considered overbought.

    • When it drops below 20, the market may be oversold.

    Traders look for potential reversals in these zones but usually wait for confirmation from other signals before entering.
     

    Using Crossover Signals

    The interaction between the %K line (faster) and the %D line (slower) often signals momentum shifts:

    • Bullish crossover: %K crosses above %D while in or near the oversold zone, which means a potential buy signal.

    • Bearish crossover: %K crosses below %D while in or near the overbought zone, which means a potential sell signal.

    These are known as stochastic oscillator crossover signals, and they’re strongest when they align with key support or resistance levels on the chart.

     

    Trading Divergences

    Divergences occur when the price and oscillator move in opposite directions:

    • Bullish divergence: Price makes a lower low, but the oscillator makes a higher low, which suggests sellers are losing strength and a rebound could follow.

    • Bearish divergence: Price makes a higher high, but the oscillator makes a lower high, which signals that buying pressure may be fading.

    These stochastic oscillator divergences often precede trend reversals and can provide early entry opportunities.

     

    Confirming with Trendlines or Moving Averages

    The Stochastic Oscillator works best when combined with broader trend tools:

    • In a downtrend, traders may wait for oversold readings and bullish crossovers before entering long positions.

    • In an uptrend, overbought readings combined with bearish crossovers may be used for exits or short entries.

    • Moving averages or trendlines help confirm whether the oscillator’s signal aligns with the dominant market direction.

     

    Limitations of the Stochastic Oscillator

    While the Stochastic Oscillator is a widely used momentum indicator, it comes with several drawbacks that traders should keep in mind.

    • False signals in trends: It can stay overbought or oversold for long periods during strong trends, leading to premature entries.

    • High sensitivity: The oscillator often reacts to small price moves, causing whipsaws in volatile markets.

    • Lagging signal line: The %D line smooths data but delays signals.

    • Best in ranges: It performs better in sideways markets than in trending ones.

    • No universal setting: Default periods may not suit all assets or timeframes.

     

    Conclusion

    The Stochastic Oscillator remains one of the most popular momentum indicators in technical analysis because of its ability to highlight potential reversals before price action confirms them. By comparing the closing price to its recent range, it gives traders valuable insight into overbought and oversold conditions, crossovers, and divergences.

    However, like any indicator, it has limitations, particularly in strong trending markets where false signals are common.

    For this reason, the Stochastic Oscillator works best when combined with other tools such as moving averages, RSI, or MACD, as well as broader trend analysis.

    Ready for the Next Trading Step?

    Open an account and get started.

    Get Free Access

    Table of Contents

      FAQs

      The Stochastic Oscillator can be applied to any timeframe, but short-term traders often use it on 5-, 15-, or 30-minute charts, while swing traders prefer daily or weekly charts.

      Yes, the Stochastic Oscillator works across asset classes, including cryptocurrencies, though its signals may be more volatile due to rapid price swings.

      The default 14,3,3 setting is common, but traders may adjust periods (e.g., 9,3,3 or 21,5,5) depending on volatility, asset type, and trading style.

      It can be used for both, but many traders rely on it for entry timing, especially when combined with broader trend confirmation.

      It’s less effective in strong trends, as the indicator can stay overbought or oversold for long periods. Combining it with trend-following tools reduces false signals.

      • Fast Stochastic: Uses raw %K and %D values, highly sensitive.
      • Slow Stochastic: Smooths %K with another moving average, reducing noise.

      • Full Stochastic: Allows traders to adjust smoothing periods for flexibility.

      Sarah Abbas

      Sarah Abbas

      SEO content writer

      Sarah Abbas is an SEO content writer with close to two years of experience creating educational content on finance and trading. Sarah brings a unique approach by combining creativity with clarity, transforming complex concepts into content that's easy to grasp.

      Antonio Di Giacomo

      Antonio Di Giacomo

      Market Analyst

      Antonio Di Giacomo studied at the Bessières School of Accounting in Paris, France, as well as at the Instituto Tecnológico Autónomo de México (ITAM). He has experience in technical analysis of financial markets, focusing on price action and fundamental analysis. After many years in the financial markets, he now prefers to share his knowledge with future traders and explain this excellent business to them.

      This written/visual material is comprised of personal opinions and ideas and may not reflect those of the Company. The content should not be construed as containing any type of investment advice and/or a solicitation for any transactions. It does not imply an obligation to purchase investment services, nor does it guarantee or predict future performance. XS, its affiliates, agents, directors, officers or employees do not guarantee the accuracy, validity, timeliness or completeness of any information or data made available and assume no liability for any loss arising from any investment based on the same. Our platform may not offer all the products or services mentioned.

      Register to our Newsletter to always be updated of our latest news!

      scroll top